EBOOK
  • Dmca
  • Contact
  • Privacy Policy
  • Copyright

Modern Algebra An Introduction Durbin Solutions Manual Pdf

Durbin Modern Algebra Solutions Manual Torlockzami

Durbin Modern Algebra Solutions Manual Torlockzami

78 Best Nkisilmodoo Images In 2020 Repair Manuals Manual

78 Best Nkisilmodoo Images In 2020 Repair Manuals Manual

1

1

78 Best Nkisilmodoo Images In 2020 Repair Manuals Manual

78 Best Nkisilmodoo Images In 2020 Repair Manuals Manual

Da74 Pdf Modern Algebra An Introduction Durbin Solutions Manual

Da74 Pdf Modern Algebra An Introduction Durbin Solutions Manual

Additionalproblems Pdf Modern Algebra An Introduction 6th
Mme 2008 By Ekonomicka Fakulta Tul Issuu
Additionalproblems Pdf Modern Algebra An Introduction 6th
Steris Harmony La 500 Service Manual Harmonyair M Series
Free Manual Solution Pdf
Modern Algebra 6th Edition Textbook Solutions Chegg Com
Download Beginning Algebra 7th Edition Solution Manual
Modern Algebra An Introduction Durbin John R 9780470384435
2qwgxlekfp Drm
Additionalproblems Pdf Modern Algebra An Introduction 6th
Amazon Com A Modern Introduction To Differential Equations
194346394 Solution Manual And Test Bank Pdf Document
Solution Manual Engineering Circuit Analysis 8th Edition Hayt
Pdf Ebook And Solutions Manual Mark Rain Academia Edu
Https Sgheningputri Files Wordpress Com 2014 12 Durbin Modern Algebra Pdf
Econometric Analysis Solution Manual Pdf Free Download
Free Manual Solution Pdf
Additionalproblems Pdf Modern Algebra An Introduction 6th
The Modern Algebra Of Information Retrieval 1st Edition Guides
Abstract Algebra Solutions Manual Herstein Abstraction Pdf
353d3 Electrical Technology Theraja Solution Manual Wiring Library
Additionalproblems Pdf Modern Algebra An Introduction 6th
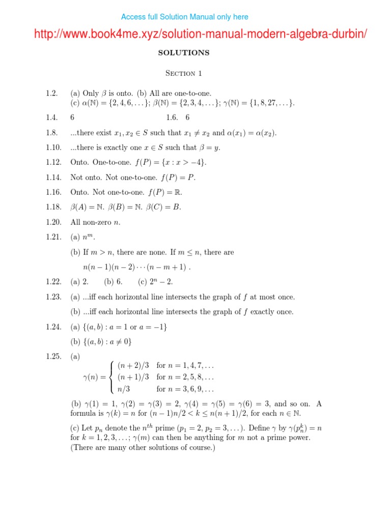
X S Such That X X S Such That B Y X X 4 Access
Full List Test Banks By Adam Kramer Issuu
Free Manual Solution Pdf
Modern Algebra An Introduction Sixth Edition Pdf Free Download
Https Azslide Com Download University Of Calicut 5a3204881723dd7408d39991 Html
Cd8f9 Pdf Modern Algebra An Introduction Durbin Solutions Manual
306 Service Manuals Memorax Stav3100 Amplifier Wiring Library
Additionalproblems Pdf Modern Algebra An Introduction 6th
Introductory To Economics 6th Edition Docsity
Solutions Manual To Accompany Introduction Linear Regression
Full List Test Banks And Solutions Manual Student Saver Team
Test Bank And Solutions Manual
Download Homology Relation On The Set Of All Fuzzy Subgroups Of A
Abstract Algebra Solutions Manual Herstein Abstraction Pdf
College Algebra And Trigonometry 2d Ed Tt By John R Durbin
Free Manual Solution Pdf
Pdf Epistemological Obstacles In Mathematical Abstraction On
Introduction To Modern Algebra Online Solution Ebook
Free Manual Solution Pdf
Additionalproblems Pdf Modern Algebra An Introduction 6th
Download Modern Algebra Dover Books On Mathematics Ipod Free
7ko2ndis Kqzsm
Econometric Analysis Solution Manual Pdf Free Download
Test Bank And Solution Part3 By Studentt Saverr Issuu
Solution Manual For Modern Algebra An Introduction
Pdf Test Bank And Solution Manual List 2 2019 2020 Aplus Tbsm
Indian Biology Olympiad Question Papers By Tonyupbl Issuu
Solutions Manual To Accompany Modern Algebra An Introduction 4th
X S Such That X X S Such That B Y X X 4 Access
Solutions To Modern Actuarial Risk Theory Pdf Free Download
Cd8f9 Pdf Modern Algebra An Introduction Durbin Solutions Manual
Introduction To Real Analysis Mathematical Analysis Robert G
Statistics Wikipedia
Download Spreadsheet Tools For Engineers Gottfried Solution Manual
235597576 Solution Manual Pdf Free Download
Learning Modern Algebra Mathematical Association Of America
Additionalproblems Pdf Modern Algebra An Introduction 6th
Additionalproblems Pdf Modern Algebra An Introduction 6th
Pdf Ernest The Ethics Of Mathematics
Modern Algebra An Introduction Durbin Solutions Manual Pdf Pdb
Solutions To Modern Algebra An Introduction 9780470384435
Combinatorics Solution Manual
Free Manual Solution Pdf
78 Best Nkisilmodoo Images In 2020 Repair Manuals Manual
Solutions Manual Test Banks 2020 2021 Part 1 By Gloria Solution
Abstract Algebra Solutions Manual Herstein Abstraction Pdf
Additionalproblems Pdf Modern Algebra An Introduction 6th
Aa24 2005 F 150 Fuse Diagram Digital Resources
Free Manual Solution Pdf
Additionalproblems Pdf Modern Algebra An Introduction 6th
Pdf Regression Analysis And Automorphic Orbits In Free Groups Of
Cd8f9 Pdf Modern Algebra An Introduction Durbin Solutions Manual
Modern Algebra With Applications 2nd Edition Wiley
Pdf A Guide To Modern Econometrics
Pdf Full List Test Banks And Solutions Manual 2020 2021 Student
Abstract Algebra Herstein Solutions Manual Pdf
Modern Algebra An Introduction Sixth Edition Pdf Free Download
Modern Algebra An Introduction Durbin John R 9780470384435
Pdf Full List Test Banks And Solutions Manual Student Saver Team
Da74 Pdf Modern Algebra An Introduction Durbin Solutions Manual
Learning Modern Algebra Mathematical Association Of America
Free Manual Solution Pdf
Modern Algebra An Introduction Sixth Edition Pdf Free Download
Zexido H76znim
Pdf Solution Manual Pdf Muslim L Alhussainy Academia Edu
Pdf Full List Test Bank And Solution Manual 2020 2021 Student
Pdf Student Saver Team For Pdf Doc Solution Manual And Test Bank
2
Modern Algebra An Introduction Sixth Edition Pdf Free Download
Download Solutions Manual To Accompany Introduction Linear
Abstract Algebra Herstein Solutions Manual Pdf
Free Manual Solution Pdf
Cd8f9 Pdf Modern Algebra An Introduction Durbin Solutions Manual

Random Posts

  • Zentangle Patterns Pdf
  • Clinical Aspects Of Dental Materials Theory Practice And Cases 3rd Edition Pdf
  • Cincuenta Sombras De Grey Aaa E L James Pdf
  • Essential Listening Coursemate Printed Access Pdf
  • Reyna Hawk Pdf
  • Science And Creation From Eternal Cycles To An Oscillating Universe Pdf
  • Suzuki Intruder 250 Owners Manual Pdf
  • Delmar Tractor Trailer Driver Training Answer Key Pdf
  • Ptw Exam Model Paper In Qatar Petrolium Pdf
  • Rimoldi Serger 329 Manual Pdf
Dmca Contact Privacy Policy Copyright

Download Or Reading Online Rimoldi Serger 329 Manual Pdf Here